Repictblog
примеры по алгебре 7 класс степени
сельдь под шубой слои
сделать кораблик из бумаги пошагово
северная и южная корея ночью
сектор газа 30 лет аккорды
себорейный дерматит на лице у детей
сегодня в завтрашний день не все могут
сербский фильм
селфи с пачкой lays
2
2
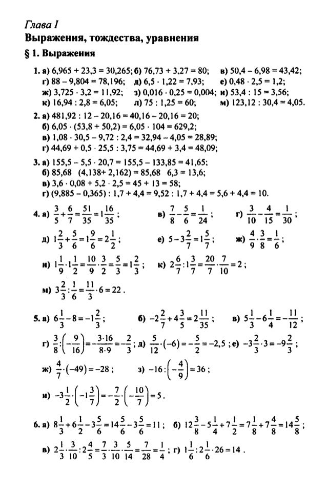
Zadaniya Po Algebre 7 Klass Shkolnye Znaniya Com
Hochu Uchitsya Povtorenie Kursa 7 Klassa
2
Prezentaciya Po Algebre Na Temu Stepen S Naturalnym I Celym Pokazatelem 7 Klass
Kontrolnaya Rabota Po Algebre 7 Klass Po Teme Stepen S Naturalnym Pokazatelem I Ee Svojstva
Obobshayushij Urok Po Algebre V 7 Klasse Stepen I Ee Svojstva
Opornaya Kartochka Shema Po Matematike Stepen S Celym Pokazatelem I Ee Svojstva
Hochu Uchitsya Povtorenie Kursa 7 Klassa
7 Stepen I Eyo Svojstva Algebra 7 Klass Makarychev Yu N Mindyuk N G Suvorova S B
Kontrolnaya Rabota Po Algebre 7 Klass Po Teme Stepen S Naturalnym Pokazatelem I Ee Svojstva
Algebra 7 9 Klassy 15 Stepen S Celym Pokazatelem Primery Resheniya Uprazhnenij Youtube
Napishite Formuly Po Algebre Za 7 Klass Pro Stepeni
Samostoyatelnaya Rabota Pa Algebre 7 Klass Na Temu Stepen
Konspekt Stepeni Svojstva Stepenej Uchitelpro
2
Algebra 161 Vychislite 7 Klass Noiturbiowor
Rabochaya Programma Po Algebre 7 Klass Makarychev Vidispgoohjobs396
Gdz Reshebnik Po Algebre 7 Klass Zvavich Kuznecova Suvorova Didakticheskie Materialy
Related Posts
прикольные открытки веселые картинки с добрым утром
прикольные открытки поздравления с днем рождения мужчине прикольные
прикольные картинки с 1 сентября для родителей
прикольные картинки с выходными
прикольные музыкальные открытки с добрым утром
прикольные картинки с днем рождения старушка
прикольные картинки пожелания спокойной ночи мужчине
прикольные картинки с добрым утром скачать бесплатно на телефон
прикольные открытки с 8 марта 2019
прикольные открытки с днем рождения витя
прикольные картинки с добрым осенним утром друзья
прикольные открытки с днем рождения сына маме
прикольные картинки смешные фото на аву из мультиков
прикольные картинки про жизнь со смыслом
прикольные открытки прикольный с днем рождения мужчине гиф
прикольные картинки с днем друзей скачать бесплатно
прикольные картинки прикольные открытки с днём учителя
прикольные картинки хорошего дня прикольные картинки доброе утро осень
прикольные ники для игр
прикольные открытки с днем рождения брату скачать бесплатно
прикольные картинки с добрым утром друзья
прикольные открытки поздравления с днём учителя
прикольные картинки ты меня не любишь
прикольные картинки прикол доброе утро хорошего дня
прикольные картинки с добрым утром скачать бесплатно